PCB열해석 BLDC 모터 드라이버의 PCB 발열계산
TRM이 효과적으로 적용되는 응양분야로 모터 제어용 보드의 설계에도 활용됩니다.
이는 FET 구동을 위한 전류에 의한 발열 >> FET 부품의 전력손실에 의한 발열의 대표적인 예로, 전류에 의한 발열과 전류 밀도에 대하여 소개합니다.
[ 3상 BLDC 모터 드라이브 PCB열해석 ]
해석 사양
- 보드 :100*114cm 양면 1oz
- 부품 : FET(IPT015N10N5 ), 24EA
- 전류(패턴) : 66A
- 전력(부품) :10.2Watts
해석 결과
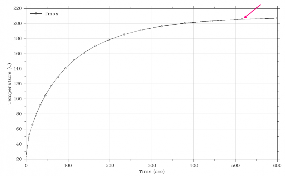
▶ 600초동안의 발열과정
▶ 최대 발열시 2D, 3D 결과

▶ 전류 밀도
▶ 기타 결과는 Report 파일, Heat Flux, 층별전류 밀도등은 첨부파일 참조
TRM의 설정
▶ 거버 가져오기(Import & Expose)
▶ 3D로 데이터 매핑 확인
▶ 해석 값 입력

▶ 해석 환경(외기온도, 열전달계수 h계산) 설정

♬ 열전달계수 계산기

♬ Transient 해석을 위한 Time step 설정

♬ Transient 계산이후 가열곡선(520초 경 202°C 정도로 열평형상태에 도달)

[ 실제 PCB ]

이상 모터 드라이버의 발열을 감안한 최적의 설계를 위하여 TRM을 이용한 해석의 예를 간단히 살펴보았습니다.
자료실을 통해 전반적인 설명을 드리기에는 한계가 많습니다.
해석과 관련한 상세정보는 sales@rndtech.co.kr로 문의 바랍니다.
감사합니다.
- 날짜: 21-04-04 14:41
- 조회: 12853
첨부파일
- report.txt (181.1K) 103회 다운로드 | DATE : 2021-04-04 16:17:56










